Match InterDptx - Triathlon BE et MI NANTES 26/01 - Championnats Régionaux Cross Cadets à Masters LA ROCHE SUR YON 26/01 - Les Foulées du Mingot CUGAND 26/01
Ci-dessous les résultats RCN Loire Divatte du week-end...
Match InterDptx - Triathlon BE et MI NANTES 26/01
Résultats :
Résultats détaillés :
Championnats Régionaux Cross Cadets à Masters LA ROCHE SUR YON 26/01
Résultats :
|
Femmes
|
||||||||||||||||
| GENET Tess | U 18 Cadettes CAF | 34 | 16'22'' | CAF/03 | 26/01 | |||||||||||
| BASTARD GUILLERM Jeanne | U20 Juniors Femmes JUF | 58 | 25'07'' | JUF/02 | 26/01 | |||||||||||
| ANDRE Anais | Cross Court Femmes SEF | 101 | 22'50'' | SEF/88 | 26/01 | |||||||||||
| JOUBIER Alexia | Cross Court Femmes SEF | 50 | 18'44'' | SEF/90 | 26/01 | |||||||||||
|
Hommes
|
||||||||||||||||
| SERISIER Maxence | U 18 Cadets CAM | 79 | 19'50'' | CAM/03 | 26/01 | |||||||||||
| KERDANET Steven | elite Hommes TCM | 229 | 37'24'' | ESM/00 | 26/01 | |||||||||||
| ROUSSEL Clement | Cross Court Hommes SEM | 101 | 16'01'' | ESM/99 | 26/01 | |||||||||||
| BOURGOIN Clement | U20 Juniors Hommes JUM | 24 | 22'39'' | JUM/01 | 26/01 | |||||||||||
| GENET Anthony | masters MAM | 165 | 38'04'' | M2M/73 | 26/01 | |||||||||||
| BORDAGE Jimmy | Cross Court Hommes SEM | 76 | 15'20'' | SEM/94 | 26/01 | |||||||||||
| PEREIRA FERREIRA Gino | elite Hommes TCM | 47 | 33'04'' | SEM/91 | 26/01 | |||||||||||
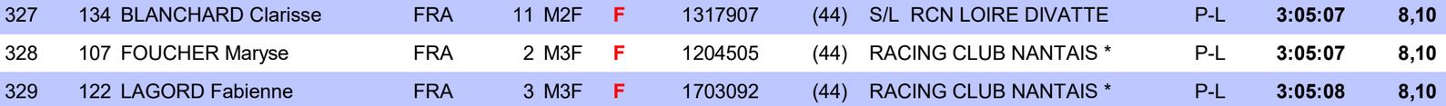
Les Foulées du Mingot CUGAND 26/01
https://www.lesfouleesdumingot.fr/les-foulees-du-mingot
Résultats : (liste basée sur les inscriptions DOODLE)
https://drive.google.com/drive/folders/1-JWqpwNTdDKU5gYAUPk_lDs7duqv_PdZ
TRAIL 17 KMs
456 FINISHERS
TRAIL 25 KMs
352 Finishers
TRAIL 34 KMs
46 Finishers
Quelques photos : (désolé, il en manque)
Toutes les photos :
https://drive.google.com/drive/folders/1L6-PE4lGwy-56K0bPoDCajhy6bNWP8H9
Cà n'est plus une surprise : une course = un podium pour SONIA !
